Упражнение 6(стар учебник) ГДЗ Дорофеев Суворова 7 класс (Алгебра)
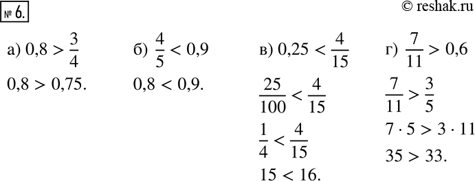
Сравните числа: а) 0,8 и 3/4; б) 4/5 и 0,9; в) 0,25 и 4/15; г) 7/11 и 0,6. *Цитирирование задания со ссылкой на учебник производится исключительно в учебных целях для лучшего понимания разбора решения задания.

Ниже вариант решения задания из учебника Дорофеев, Суворова, Бунимович 7 класс, Просвещение:
Сравните числа:
а) 0,8 и 3/4;
б) 4/5 и 0,9;
в) 0,25 и 4/15;
г) 7/11 и 0,6.
