Упражнение 117 ГДЗ Колягин Ткачёва 7 класс (Алгебра)
Частное двух чисел равно 1,8. Найти новое частное, если: 1) делимое умножить на 0,4, а делитель оставить без изменения; 2) делимое и делитель умножить на 2,7;


Ниже вариант решения задания из учебника Колягин, Ткачёва, Фёдорова 7 класс, Просвещение:
Частное двух чисел равно 1,8. Найти новое частное, если:
1) делимое умножить на 0,4, а делитель оставить без изменения;
2) делимое и делитель умножить на 2,7;
3) делимое умножить на 9, а делитель — на 0,3;
4) делимое разделить на 0,6, а делитель — на 0,2.
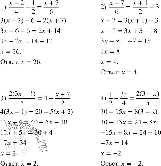
Решить уравнение:
1) (x-2)/4-1/2=(x+7)/6;
2) (x-7)/6=(x+1)/2-3;
3) 2(3x-1)/5=4-(x+2)/2;
4) 1/2-3x/4=2(3-x)/5.
