Упражнение 121 ГДЗ Колягин Ткачёва 7 класс (Алгебра)
Найти: 1) 0,7 числа 35; 2) 0,02 числа 6,4. При каком x значение 3(x-1)-2(3-x)-1 равно 1? *Цитирирование задания со ссылкой на учебник производится исключительно в учебных целях для лучшего понимания разбора решения задания.


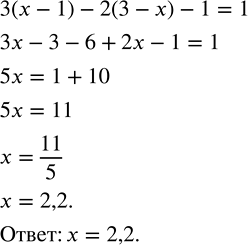
Ниже вариант решения задания из учебника Колягин, Ткачёва, Фёдорова 7 класс, Просвещение:
Найти:
1) 0,7 числа 35;
2) 0,02 числа 6,4.
При каком x значение 3(x-1)-2(3-x)-1 равно 1?
