Упражнение 125 ГДЗ Колягин Ткачёва 7 класс (Алгебра)
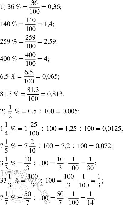
Выразить в виде дроби проценты: 1) 36 %; 140 %; 259 %; 400 %; 6,5 %; 81,3 %; 2) 1/2 %;


Ниже вариант решения задания из учебника Колягин, Ткачёва, Фёдорова 7 класс, Просвещение:
Выразить в виде дроби проценты:
1) 36 %; 140 %; 259 %; 400 %; 6,5 %; 81,3 %;
2) 1/2 %; 1 1/4 %; 7 1/5 %; 3 1/3 %; 33 1/3 %; 7 1/7 %.
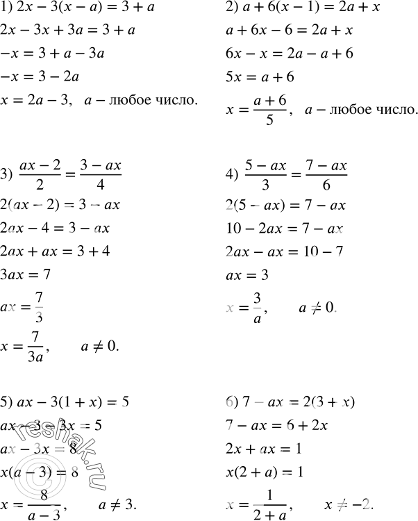
Решить уравнение, принимая за неизвестное x, и выяснить, при каких значениях a это уравнение имеет корни:
1) 2x-3(x-a)=3+a;
2) a+6(x-1)=2a+x;
3) (ax-2)/2=(3-ax)/4;
4) (5-ax)/3=(7-ax)/6;
5) ax-3(1+x)=5;
6) 7-ax=2(3+x).
