Упражнение 540 ГДЗ Колягин Ткачёва 7 класс (Алгебра)
Представить квадрат двучлена в виде многочлена: 1) (-4ab-5a^2 )^2; 2) (-3b^2-2ab)^2; 3) (4xy+0,5y^2 )^2. Функция задана формулой p(x)=1/3 (2x+1). 1) Найти p(3), p(-12), p(2,1).


Ниже вариант решения задания из учебника Колягин, Ткачёва, Фёдорова 7 класс, Просвещение:
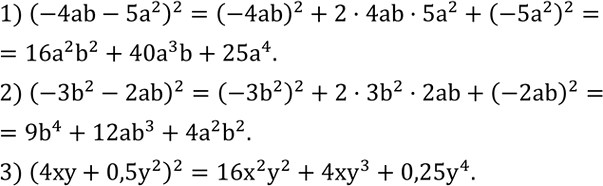
Представить квадрат двучлена в виде многочлена:
1) (-4ab-5a^2 )^2;
2) (-3b^2-2ab)^2;
3) (4xy+0,5y^2 )^2.
Функция задана формулой p(x)=1/3 (2x+1).
1) Найти p(3), p(-12), p(2,1).
2) Найти значение x, если p(x)=0, p(x)=2,4, p(x)=-9.
