Упражнение 544 ГДЗ Колягин Ткачёва 7 класс (Алгебра)
Заменить x одночленом так, чтобы получился квадрат двучлена: 1) a^2+4a+x; 2) p^2-0,5p+x; 3) 36a^2-x+49b^2. (Устно.) Результаты измерений температуры воздуха за сутки даны в следующей таблице:


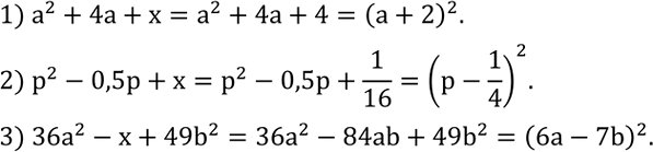
Ниже вариант решения задания из учебника Колягин, Ткачёва, Фёдорова 7 класс, Просвещение:
Заменить x одночленом так, чтобы получился квадрат двучлена:
1) a^2+4a+x;
2) p^2-0,5p+x;
3) 36a^2-x+49b^2.
(Устно.) Результаты измерений температуры воздуха за сутки даны в следующей таблице:
1) Назвать температуру в 6 ч, 18 ч, 24 ч.
2) В какое время температура была равна +1^о C, -4^о C, 11^о C?
