Упражнение 589 ГДЗ Колягин Ткачёва 7 класс (Алгебра)
Записать выражение в виде многочлена: 1) (a+(b+c))(a-(b+c)); 2) (a^2-(b-c))(a^2+(b-c)). (Устно.) Как из графика функции y=-2x можно получть графики функций y=-2x+3 и y=-2x-3?


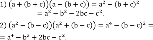
Ниже вариант решения задания из учебника Колягин, Ткачёва, Фёдорова 7 класс, Просвещение:
Записать выражение в виде многочлена:
1) (a+(b+c))(a-(b+c));
2) (a^2-(b-c))(a^2+(b-c)).
(Устно.) Как из графика функции y=-2x можно получть графики функций y=-2x+3 и y=-2x-3?
