Упражнение 590 ГДЗ Колягин Ткачёва 7 класс (Алгебра)
Вычислить: 1) (2x-1)(4x^2+2x+1)-4x(2x^2-3) при x=0,5; 2) x(x+2)(x-2)-(x-3)(x^2+3x+9) при x=0,25. (Устно.) Как из графика функции y=1/3 x можно получить графики функций y=1/3 x+2 и y=1/3 x-2?


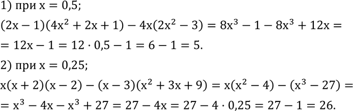
Ниже вариант решения задания из учебника Колягин, Ткачёва, Фёдорова 7 класс, Просвещение:
Вычислить:
1) (2x-1)(4x^2+2x+1)-4x(2x^2-3) при x=0,5;
2) x(x+2)(x-2)-(x-3)(x^2+3x+9) при x=0,25.
(Устно.) Как из графика функции y=1/3 x можно получить графики функций y=1/3 x+2 и y=1/3 x-2?
