Упражнение 736 ГДЗ Колягин Ткачёва 7 класс (Алгебра)
Фермер собрал с двух участков 460 т клевера. На второй год на первом участке урожай увеличился на 15 %, а на втором - на 10 % и общий урожай клевера составил 516 т.


Ниже вариант решения задания из учебника Колягин, Ткачёва, Фёдорова 7 класс, Просвещение:
Фермер собрал с двух участков 460 т клевера. На второй год на первом участке урожай увеличился на 15 %, а на втором - на 10 % и общий урожай клевера составил 516 т. Сколько тонн клевера было собрано с каждого участка в первый год?
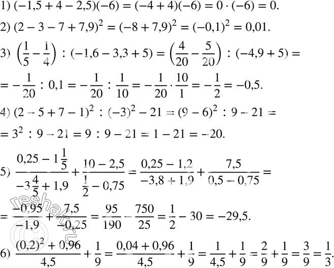
Найти значение числового выражения:
1) (-1,5+4-2,5)(-6);
2) (2-3-7+7,9)^2;
3) (1/5-1/4) :(-1,6-3,3+5);
4) (2-5+7-1)^2 :(-3)^2-21;
5) (0,25-1 1/5)/(-3 4/5+1,9)+(10-2,5)/(1/2-0,75);
6) ((0,2)^2+0,96)/4,5+1/9.
