Упражнение 740 ГДЗ Колягин Ткачёва 7 класс (Алгебра)
В три сосуда налита вода. Если половину воды из первого сосуда перелить во второй, затем 1/3 часть воды, оказавшейся во втором сосуде, перелить в третий и, наконец, 1/4 часть воды, оказавшейся в третьем сосуде, перелить в первый,то в каждом сосуде станет по 6 л.



Ниже вариант решения задания из учебника Колягин, Ткачёва, Фёдорова 7 класс, Просвещение:
В три сосуда налита вода. Если половину воды из первого сосуда перелить во второй, затем 1/3 часть воды, оказавшейся во втором сосуде, перелить в третий и, наконец, 1/4 часть воды, оказавшейся в третьем сосуде, перелить в первый,то в каждом сосуде станет по 6 л. Сколько воды было в каждом сосуде до переливания?
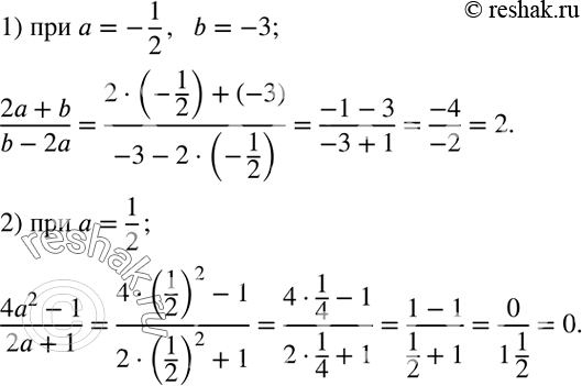
Найти числовое значение алгебраического выражения:
1) (2a+b)/(b-2a) при a=-1/2, b=-3;
2) (4a^2-1)/(2a+1) при a=1/2.
