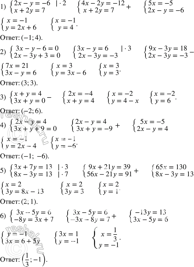
Упражнение 786 ГДЗ Колягин Ткачёва 7 класс (Алгебра)
Решить систему уравнений: 1) {(2x-y=-6 x+2y=7)+ 2) {(3x-y-6=0 2x-3y+3=0)+ 3) {(x+y=4 3x+y=0)+ 4) {(2x-y=4 3x+y+9=0)+ 5) {(3x+7y=13 8x-3y=13)+ 6) {(3x-5y=6 -8y=3x+7)+ *Цитирирование задания со ссылкой на учебник производится исключительно в учебных целях для лучшего понимания разбора решения задания.

Ниже вариант решения задания из учебника Колягин, Ткачёва, Фёдорова 7 класс, Просвещение:
Решить систему уравнений:
1) {(2x-y=-6
x+2y=7)+
2) {(3x-y-6=0
2x-3y+3=0)+
3) {(x+y=4
3x+y=0)+
4) {(2x-y=4
3x+y+9=0)+
5) {(3x+7y=13
8x-3y=13)+
6) {(3x-5y=6
-8y=3x+7)+
