Упражнение 787 ГДЗ Колягин Ткачёва 7 класс (Алгебра)
Решить систему уравнений: 1) {(x/5+y/2=5 x/4-y/5=0,5)+ 2) {(2x/3-5y/4=-3 5x/6-7y/8=-1)+ 3) {((x+y)/3+y=9 (x-y)/3-x=-4)+ 4) {((x+y)/2=1/3 x-y=1/2)+ *Цитирирование задания со ссылкой на учебник производится исключительно в учебных целях для лучшего понимания разбора решения задания.


Ниже вариант решения задания из учебника Колягин, Ткачёва, Фёдорова 7 класс, Просвещение:
Решить систему уравнений:
1) {(x/5+y/2=5
x/4-y/5=0,5)+
2) {(2x/3-5y/4=-3
5x/6-7y/8=-1)+
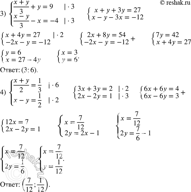
3) {((x+y)/3+y=9
(x-y)/3-x=-4)+
4) {((x+y)/2=1/3
x-y=1/2)+
