Упражнение 793 ГДЗ Колягин Ткачёва 7 класс (Алгебра)
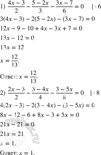
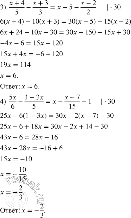
Решить уравнение: 1) (4x-3)/2-(5-2x)/3-(3x-7)/6=0; 2) (2x-3)/2-(3-4x)/4-(3-5x)/8=0; 3) (x+4)/5-(x+3)/3=x-5-(x-2)/2; 4) 5x/6-(1-3x)/5=x-(x-7)/15-1. *Цитирирование задания со ссылкой на учебник производится исключительно в учебных целях для лучшего понимания разбора решения задания.


Ниже вариант решения задания из учебника Колягин, Ткачёва, Фёдорова 7 класс, Просвещение:
Решить уравнение:
1) (4x-3)/2-(5-2x)/3-(3x-7)/6=0;
2) (2x-3)/2-(3-4x)/4-(3-5x)/8=0;
3) (x+4)/5-(x+3)/3=x-5-(x-2)/2;
4) 5x/6-(1-3x)/5=x-(x-7)/15-1.
