Упражнение 795 ГДЗ Колягин Ткачёва 7 класс (Алгебра)
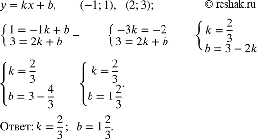
Дана функция y=kx+b. При каких значениях k и b график функции проходит через точки (-1;1) и (2;3)? *Цитирирование задания со ссылкой на учебник производится исключительно в учебных целях для лучшего понимания разбора решения задания.

Ниже вариант решения задания из учебника Колягин, Ткачёва, Фёдорова 7 класс, Просвещение:
Дана функция y=kx+b. При каких значениях k и b график функции проходит через точки (-1;1) и (2;3)?
