Проверь себя Глава 5 ГДЗ Колягин Ткачёва 7 класс (Алгебра)
Найти допустимые значения букв, входящих в дробь: a/b; 3/(a-1); a/(b+2). 2. Выполнить действия: а) 4a+(1-4a^2)/a; б) (a+b)/(a-b)-(a-b)/(a+b); в) (2a-4)/3b•6b/(a-2); г) (a^2-b^2)/b^2 :(a+b)/b.







Ниже вариант решения задания из учебника Колягин, Ткачёва, Фёдорова 7 класс, Просвещение:
Найти допустимые значения букв, входящих в дробь:
a/b; 3/(a-1); a/(b+2).
2. Выполнить действия:
а) 4a+(1-4a^2)/a; б) (a+b)/(a-b)-(a-b)/(a+b);
в) (2a-4)/3b•6b/(a-2); г) (a^2-b^2)/b^2 :(a+b)/b.
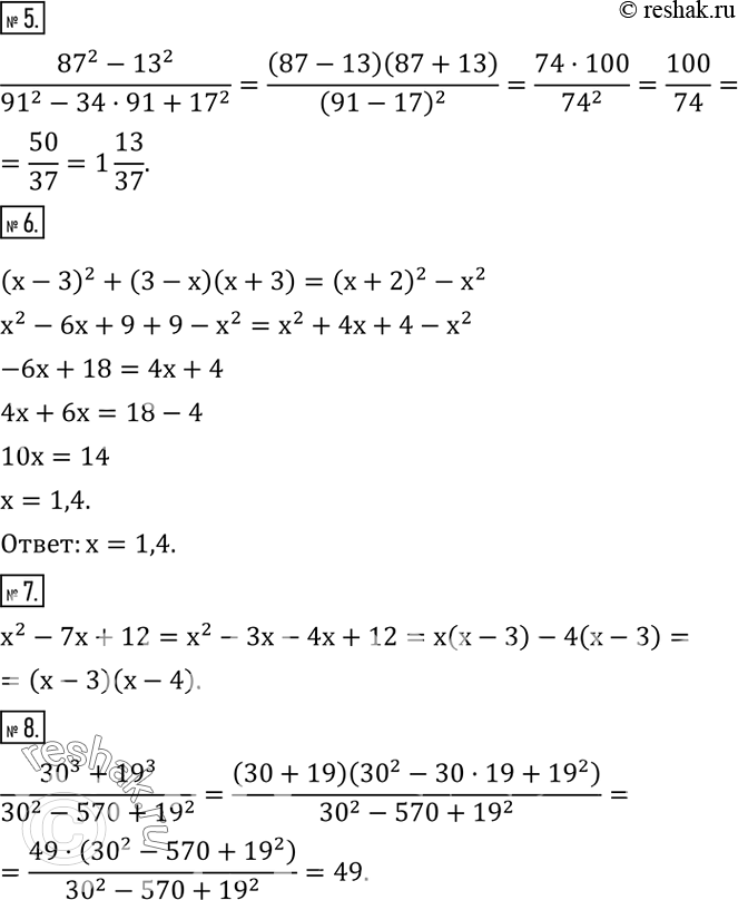
3. Упростить выражение (1+2x)/(x-3)-(x^2+3x)/5•10/(x^2-9) и найти его числовое значение при x=2 2/3.
4. Найти допустимые значения букв, входящих в дробь:
(a-4)/(a+4); 2b/(b^2+1); 7/c(c-2) .
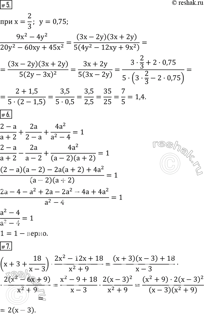
5. Сократить дробь (9x^2-4y^2)/(20y^2-60xy+45x^2 ) и найти ее значение при x=2/3; y=0,75.
6. Доказать, что сумма дробей (2-a)/(a+2), 2a/(2-a) и (4a^2)/(a^2-4) равна 1.
7. Упростить выражение (x+3+18/(x-3))•(2x^2-12x+18)/(x^2+9).
8. Решить уравнение (x-3)^2/12-(2x^2+5)/4+(1,25x^2-1)/3=2/3.
9. Найти допустимые значения букв, входящих в дробь:
а) (a^2-b^2)/(a^2+b^2 ); б) (1-b)/(|b|); в) 9/(a^2-9).
10. Сократить дробь: а) 5a/(|a|); б) (2|a-1|)/(a-1).
11. Доказать, что значение выражения
(x-3)/(x^2-10x+25)-(3-4x)/(10x-25-x^2 )+(4x-5)/(5-x)^2
не может быть равно 0 ни при каких допустимых значениях x.
12. Найти значение выражения
(3m^3n)/(m^3n+n^3n )•(m^n+n^n)/m^n -(3m^2n)/(m^2n-m^n n^n+n^2n ).
13. Решить уравнение (x+a)^2/2-(x-a)^2/4+x/2=(a^2+x^2+3)/4.
