Упражнение 16.12 ГДЗ Мордкович Семенов 9 класс (Алгебра)
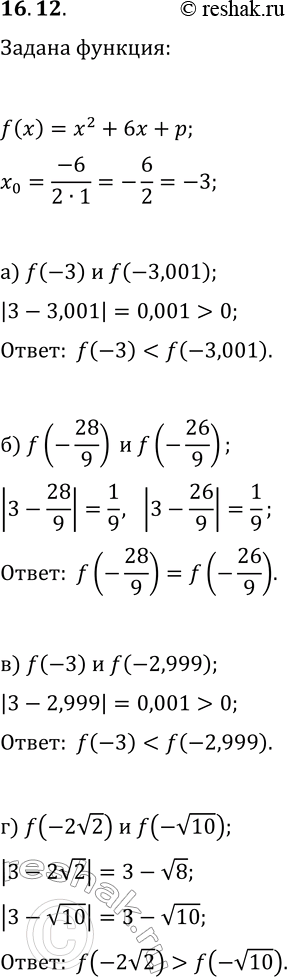
16.12. Дана функция y=f(x), где f(x)=x^2+6x+p. Известно, что параметр р может принимать любые действительные значения. Не вычисляя значение функции, сравните, если возможно:

Ниже вариант решения задания из учебника Мордкович, Семенов, Александрова 9 класс, Бином:
16.12. Дана функция y=f(x), где f(x)=x^2+6x+p. Известно, что параметр р может принимать любые действительные значения. Не вычисляя значение функции, сравните, если возможно:
а) f(-3) и f(-3,001); б) f(-3) и f(-2,999);
в) f(-28/9) и f(-26/9); в) f(-2v2) и f(-v10).
