Упражнение 17.1 ГДЗ Мордкович Семенов 9 класс (Алгебра)
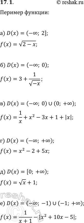
17.1. Приведите пример функции y=f(x), областью определения которой является промежуток или объединение промежутков: а) (-?; 2]; г) (-?; +?); б) (-?;
![Решение задачи: 17.1. Приведите пример функции y=f(x), областью определения которой является промежуток или объединение промежутков: а) (-?; 2]; г) (-?; +?); б) (-?;](solutions/algebra/9/626/1-17-1.png)
Ниже вариант решения задания из учебника Мордкович, Семенов, Александрова 9 класс, Бином:
17.1. Приведите пример функции y=f(x), областью определения которой является промежуток или объединение промежутков:
а) (-?; 2]; г) (-?; +?);
б) (-?; 0); д) [0; +?);
в) (-?; 0)?(0; +?); е) (-?; -1)?(-1; +?).
