Упражнение 17.3 ГДЗ Мордкович Семенов 9 класс (Алгебра)
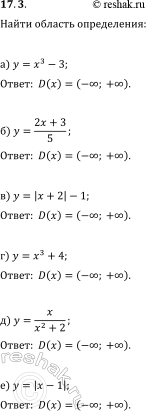
17.3. Найдите (естественную) область определения данной функции: а) y=x^3-3; г) y=x^3+4; б) y=(2x+3)/5; д) y=x/(x^2+2); в) y=|x+2|-1; е) y=|x-1|. *Цитирирование задания со ссылкой на учебник производится исключительно в учебных целях для лучшего понимания разбора решения задания.

Ниже вариант решения задания из учебника Мордкович, Семенов, Александрова 9 класс, Бином:
17.3. Найдите (естественную) область определения данной функции:
а) y=x^3-3; г) y=x^3+4;
б) y=(2x+3)/5; д) y=x/(x^2+2);
в) y=|x+2|-1; е) y=|x-1|.
