Упражнение 18.8 ГДЗ Мордкович Семенов 9 класс (Алгебра)
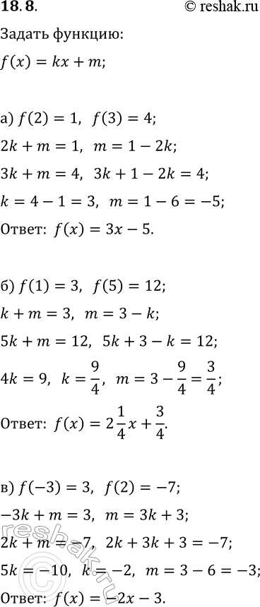
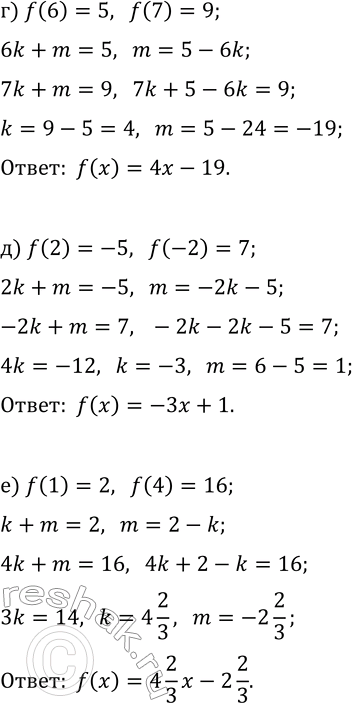
18.8. Задайте функцию y=f(x), где f(x)=kx+m, если известно: а) f(2)=1, f(3)=4; г) f(6)=5, f(7)=9; б) f(1)=3, f(5)=12; д) f(2)=-5, f(-2)=7; в) f(-3)=3, f(2)=-7;


Ниже вариант решения задания из учебника Мордкович, Семенов, Александрова 9 класс, Бином:
18.8. Задайте функцию y=f(x), где f(x)=kx+m, если известно:
а) f(2)=1, f(3)=4; г) f(6)=5, f(7)=9;
б) f(1)=3, f(5)=12; д) f(2)=-5, f(-2)=7;
в) f(-3)=3, f(2)=-7; е) f(1)=2, f(4)=16.
