Упражнение 18.13 ГДЗ Мордкович Семенов 9 класс (Алгебра)
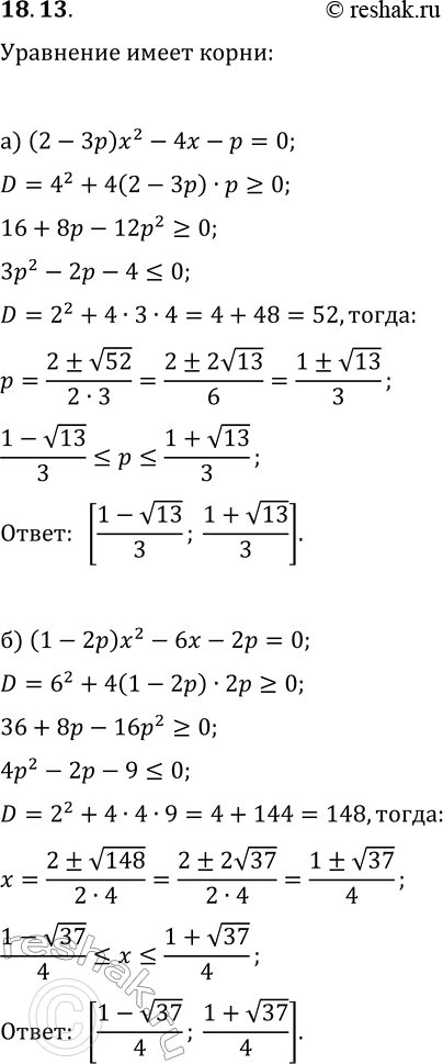
18.13. Найдите все значения параметра р, при которых уравнение имеет действительные корни: а) (2-3p)x^2-4x-p=0; б) (1-2p)x^2-6x-2p=0. *Цитирирование задания со ссылкой на учебник производится исключительно в учебных целях для лучшего понимания разбора решения задания.

Ниже вариант решения задания из учебника Мордкович, Семенов, Александрова 9 класс, Бином:
18.13. Найдите все значения параметра р, при которых уравнение имеет действительные корни:
а) (2-3p)x^2-4x-p=0; б) (1-2p)x^2-6x-2p=0.
