Упражнение 21.11 ГДЗ Мордкович Семенов 9 класс (Алгебра)
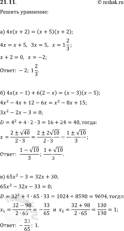
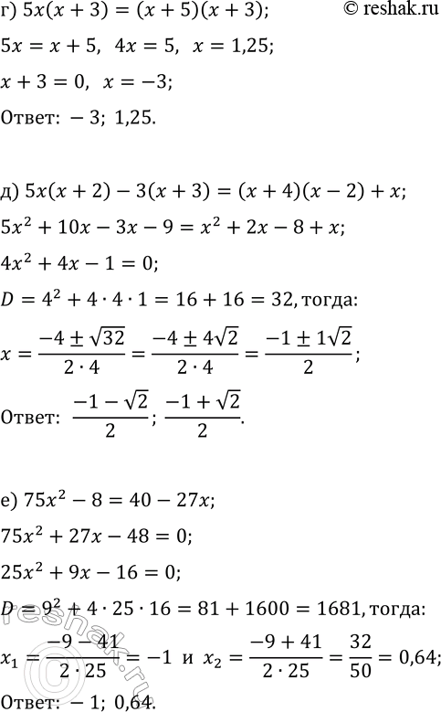
21.11. Решите уравнение: а) 4x(x+2)=(x+5)(x+2); б) 4x(x-1)+6(2-x)=(x-3)(x-5); в) 65x^2-3=32x+30; г) 5x(x+3)=(x+5)(x+3); д) 5x(x+2)-3(x+3)=(x+4)(x-2)+x; е) 75x^2-8=40-27x. *Цитирирование задания со ссылкой на учебник производится исключительно в учебных целях для лучшего понимания разбора решения задания.


Ниже вариант решения задания из учебника Мордкович, Семенов, Александрова 9 класс, Бином:
21.11. Решите уравнение:
а) 4x(x+2)=(x+5)(x+2);
б) 4x(x-1)+6(2-x)=(x-3)(x-5);
в) 65x^2-3=32x+30;
г) 5x(x+3)=(x+5)(x+3);
д) 5x(x+2)-3(x+3)=(x+4)(x-2)+x;
е) 75x^2-8=40-27x.
