Упражнение 22.1 ГДЗ Мордкович Семенов 9 класс (Алгебра)
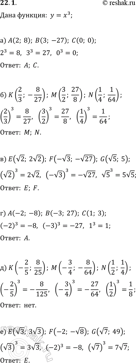
22.1. Не выполняя построения, выясните, принадлежит ли графику функции y=x^3 заданная точка: а) A(2; 8), B(3; -27), C(0; 0); б) K(2/3;

Ниже вариант решения задания из учебника Мордкович, Семенов, Александрова 9 класс, Бином:
22.1. Не выполняя построения, выясните, принадлежит ли графику функции y=x^3 заданная точка:
а) A(2; 8), B(3; -27), C(0; 0);
б) K(2/3; -8/27), M(3/2; 27/8), N(1/4; 1/64);
в) E(v2; 2v2), F(-v3; -v27), G(v5; 5);
г) A(-2; -8), B(-3; 27), C(1; 3);
д) K(-2/5; 8/25), M(-3/4; -8/64), N(1/2; 1/4);
е) E(v3; 3v3), F(-2; -v8), G(v7; 49).
