Упражнение 24.19 ГДЗ Мордкович Семенов 9 класс (Алгебра)
24.19. Решите систему уравнений: а) {6x-y=-1, 5/x+3/y=16}; б) {3x^2+2y^2-3x+4y=16, 4x^2-2y^2+5x-4y=-7}; в) {4x+2y=-1, 7/x+9/y=4}; г) {5x^2+3y^2-4x+3y=48, 5x^2-y^2-4x-6y=-15}. *Цитирирование задания со ссылкой на учебник производится исключительно в учебных целях для лучшего понимания разбора решения задания.



Ниже вариант решения задания из учебника Мордкович, Семенов, Александрова 9 класс, Бином:
24.19. Решите систему уравнений:
а) {6x-y=-1, 5/x+3/y=16};
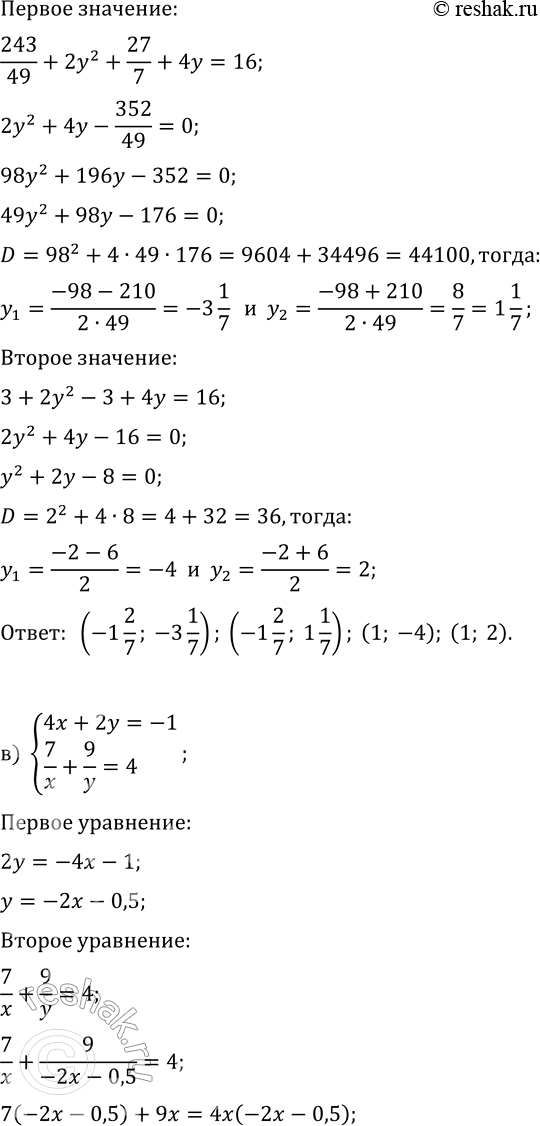
б) {3x^2+2y^2-3x+4y=16, 4x^2-2y^2+5x-4y=-7};
в) {4x+2y=-1, 7/x+9/y=4};
г) {5x^2+3y^2-4x+3y=48, 5x^2-y^2-4x-6y=-15}.
