Упражнение 24.21 ГДЗ Мордкович Семенов 9 класс (Алгебра)
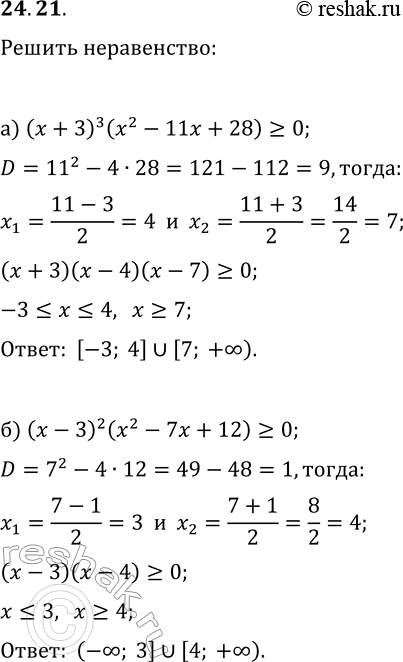
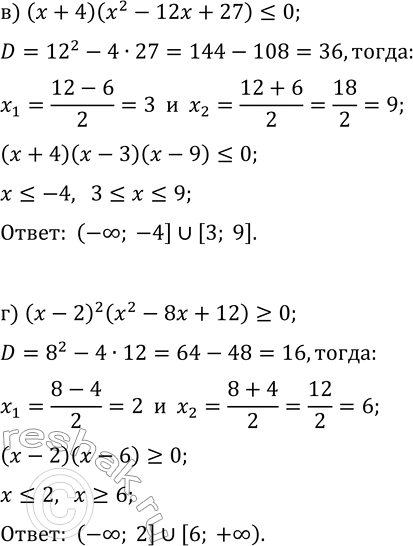
24.21. Решите неравенство: а) (x+3)^3 (x^2-11x+28)?0; б) (x-3)^2 (x^2-7x+12)?0; в) (x+4)(x^2-12x+27)?0; г) (x-2)^2 (x^2-8x+12)?0. *Цитирирование задания со ссылкой на учебник производится исключительно в учебных целях для лучшего понимания разбора решения задания.


Ниже вариант решения задания из учебника Мордкович, Семенов, Александрова 9 класс, Бином:
24.21. Решите неравенство:
а) (x+3)^3 (x^2-11x+28)?0;
б) (x-3)^2 (x^2-7x+12)?0;
в) (x+4)(x^2-12x+27)?0;
г) (x-2)^2 (x^2-8x+12)?0.
