Упражнение 25.20 ГДЗ Мордкович Семенов 9 класс (Алгебра)
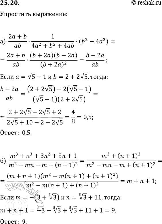
25.20. Упростите выражение и найдите его значение: а) (2a+b)/(ab)·1/(4a^2+b^2+4ab)·(b^2-4a^2) при a=v5-1, b=2+2v5; б) (m^3+n^3+3n^2+3n+1)/(m^2-mn-m+(n+1)^2) при m=-(3+3^(1/5)), n=3^(1/5)+11. *Цитирирование задания со ссылкой на учебник производится исключительно в учебных целях для лучшего понимания разбора решения задания.

Ниже вариант решения задания из учебника Мордкович, Семенов, Александрова 9 класс, Бином:
25.20. Упростите выражение и найдите его значение:
а) (2a+b)/(ab)·1/(4a^2+b^2+4ab)·(b^2-4a^2) при a=v5-1, b=2+2v5;
б) (m^3+n^3+3n^2+3n+1)/(m^2-mn-m+(n+1)^2) при m=-(3+3^(1/5)), n=3^(1/5)+11.
