Упражнение 27.8 ГДЗ Мордкович Семенов 9 класс (Алгебра)
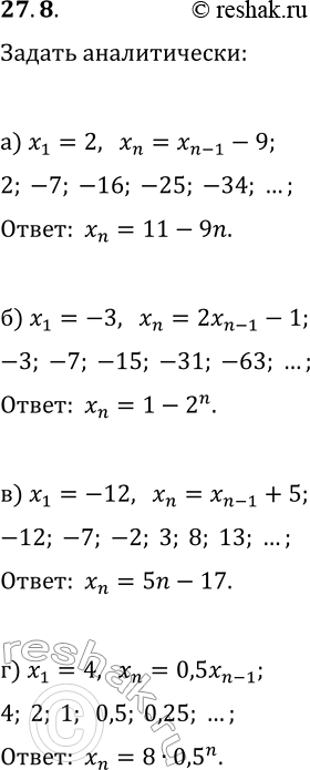
27.8. Последовательность (x_n), заданную рекуррентно, задайте аналитическим способом: а) x_1=2; x_n=x_(n-1)-9, n=2, 3, 4, ...; б) x_1=-3; x_n=2x_(n-1)-1, n=2, 3, 4, ...;

Ниже вариант решения задания из учебника Мордкович, Семенов, Александрова 9 класс, Бином:
27.8. Последовательность (x_n), заданную рекуррентно, задайте аналитическим способом:
а) x_1=2; x_n=x_(n-1)-9, n=2, 3, 4, ...;
б) x_1=-3; x_n=2x_(n-1)-1, n=2, 3, 4, ...;
в) x_1=-12, x_n=x_(n-1)+5, n=2, 3, 4, ...;
г) x_1=4; x_n=0,5x_(n-1), n=2, 3, 4, ... .
