Упражнение 27.12 ГДЗ Мордкович Семенов 9 класс (Алгебра)
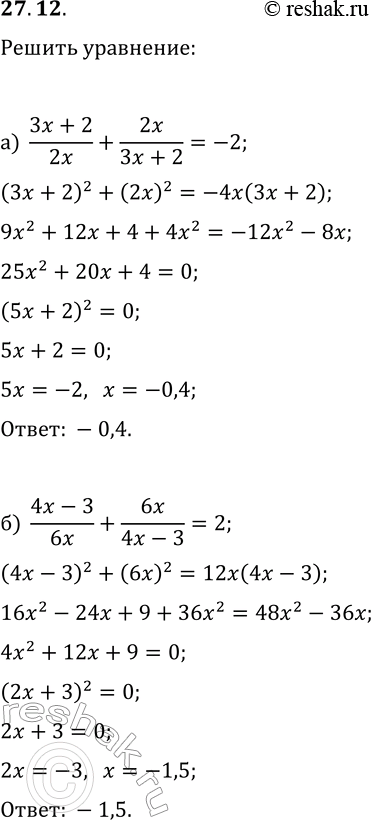
27.12. Решите уравнение: а) (3x+2)/(2x)+2x/(3x+2)=-2; б) (4x-3)/(6x)+6x/(4x-3)=2. *Цитирирование задания со ссылкой на учебник производится исключительно в учебных целях для лучшего понимания разбора решения задания.

Ниже вариант решения задания из учебника Мордкович, Семенов, Александрова 9 класс, Бином:
27.12. Решите уравнение:
а) (3x+2)/(2x)+2x/(3x+2)=-2;
б) (4x-3)/(6x)+6x/(4x-3)=2.
