Упражнение 31.1 ГДЗ Мордкович Семенов 9 класс (Алгебра)
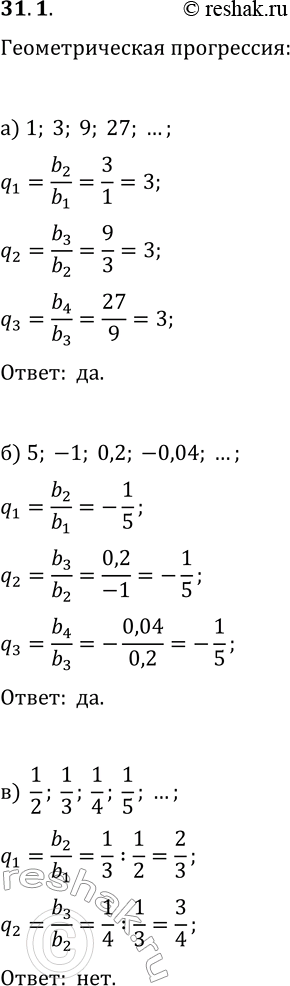
31.1. Выясните, какая последовательность является геометрической прогрессией: а) 1, 3, 9, 27, ...; г) 15, 12, 9, 6, ...; б) 5, -1, 0,2, -0,04, ...;


Ниже вариант решения задания из учебника Мордкович, Семенов, Александрова 9 класс, Бином:
31.1. Выясните, какая последовательность является геометрической прогрессией:
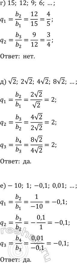
а) 1, 3, 9, 27, ...; г) 15, 12, 9, 6, ...;
б) 5, -1, 0,2, -0,04, ...; д) v2, 2v2, 4v2, 8v2, ...;
в) 1/2, 1/3, 1/4, 1/5, ...; е) -10, 1, -0,1, 0,01, ... .
