Упражнение 31.5 ГДЗ Мордкович Семенов 9 класс (Алгебра)
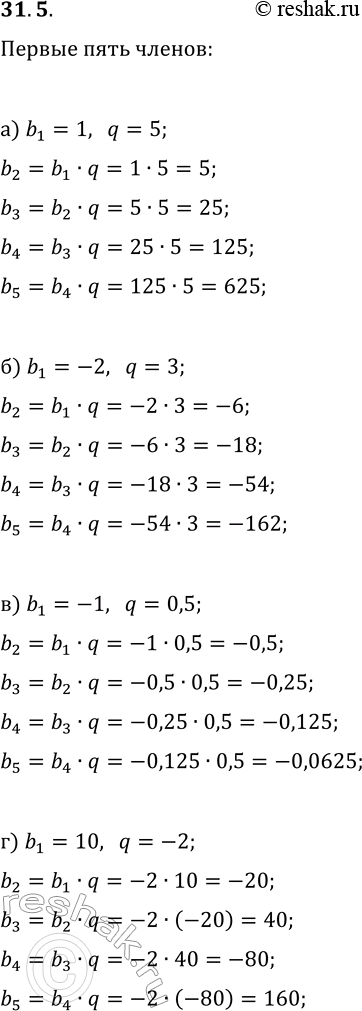
31.5. Найдите первые пять членов геометрической прогрессии (b_n), если: а) b_1=1, q=5; в) b_1=-1, q=0,5; б) b_1=-2, q=3; г) b_1=10, q=-2.

Ниже вариант решения задания из учебника Мордкович, Семенов, Александрова 9 класс, Бином:
31.5. Найдите первые пять членов геометрической прогрессии (b_n), если:
а) b_1=1, q=5; в) b_1=-1, q=0,5;
б) b_1=-2, q=3; г) b_1=10, q=-2.
