Упражнение 35.5 ГДЗ Мордкович Семенов 9 класс (Алгебра)
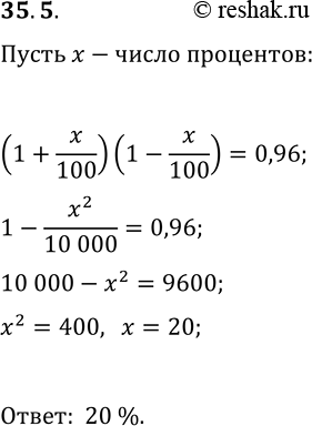
35.5. Во вторник акции компании подорожали на некоторое число процентов, а в среду подешевели на столько же процентов. В результате акции стали стоить на 4 % меньше, чем при открытии торгов во вторник.

Ниже вариант решения задания из учебника Мордкович, Семенов, Александрова 9 класс, Бином:
35.5. Во вторник акции компании подорожали на некоторое число процентов, а в среду подешевели на столько же процентов. В результате акции стали стоить на 4 % меньше, чем при открытии торгов во вторник. На сколько процентов подорожали акции компании во вторник?
