Упражнение 35.2 ГДЗ Мордкович Семенов 9 класс (Алгебра)
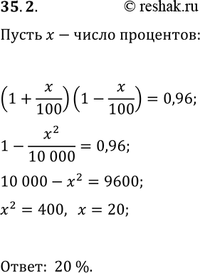
35.2. В среду на биржевых торгах котировка акций некоторой металлургической компании повысилась, а в четверг снизилась на то же число процентов.

Ниже вариант решения задания из учебника Мордкович, Семенов, Александрова 9 класс, Бином:
35.2. В среду на биржевых торгах котировка акций некоторой металлургической компании повысилась, а в четверг снизилась на то же число процентов. В итоге к концу дня в четверг акции торговались на уровне 96 % от утренней котировки среды. На сколько процентов цена акции повышалась в среду и понижалась в четверг?
