Упражнение 39.14 ГДЗ Мордкович Семенов 9 класс (Алгебра)
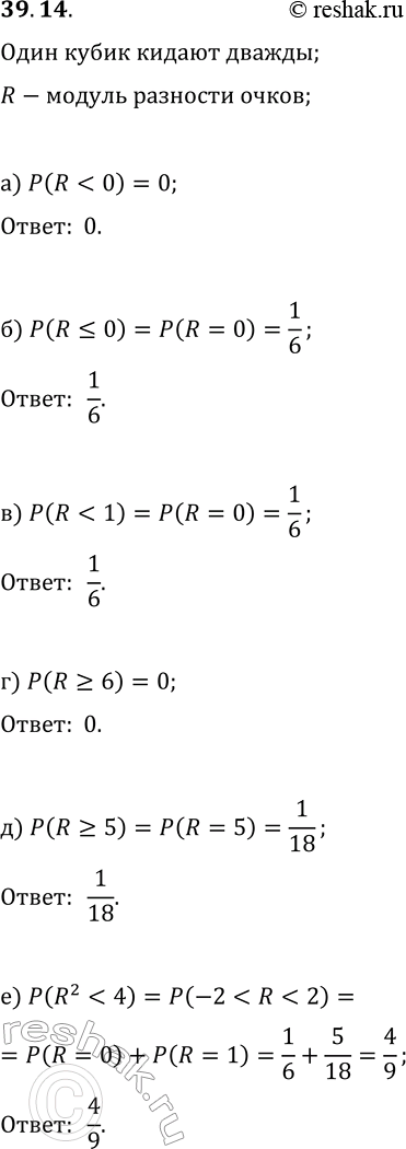
39.14. Рассмотрим случайную величину R — «модуль разности очков, которые могут выпасть при двух бросаниях кубика». Найдите вероятность события: а) R б) R?0;
Ниже вариант решения задания из учебника Мордкович, Семенов, Александрова 9 класс, Бином:
39.14. Рассмотрим случайную величину R — «модуль разности очков, которые могут выпасть при двух бросаниях кубика». Найдите вероятность события:
а) R
б) R?0; г) R?6; е) R^2

