Упражнение 39.9 ГДЗ Мордкович Семенов 9 класс (Алгебра)
39.9. Рассмотрим случайную величину Т — «сумма очков, которые могут выпасть при двух бросаниях кубика». Найдите вероятность события: а) T=1; в) T=3;

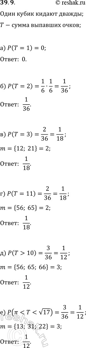
Ниже вариант решения задания из учебника Мордкович, Семенов, Александрова 9 класс, Бином:
39.9. Рассмотрим случайную величину Т — «сумма очков, которые могут выпасть при двух бросаниях кубика». Найдите вероятность события:
а) T=1; в) T=3; д) T > 10;
б) T=2; г) T=11; е) ?
