Дополнительная задача 1 Глава 2 ГДЗ Мордкович Семенов 9 класс (Алгебра)
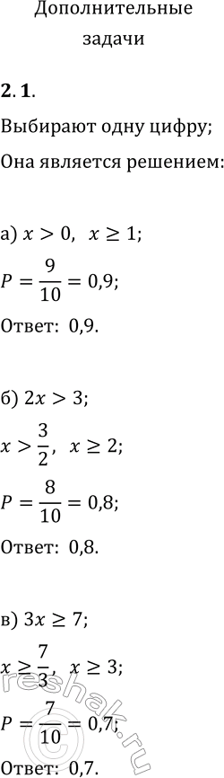
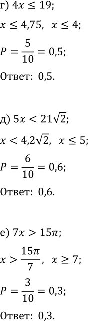
Наудачу выбирают одно из чисел 0, 1, 2, ..., 8, 9. Какова вероятность того, что оно окажется решением данного неравенства? 1.


Ниже вариант решения задания из учебника Мордкович, Семенов, Александрова 9 класс, Бином:
Наудачу выбирают одно из чисел 0, 1, 2, ..., 8, 9. Какова вероятность того, что оно окажется решением данного неравенства?
1. а) x > 0; в) 3x > =7; д) 5x
б) 2x > 3; г) 4x 15п.
