Дополнительная задача 1 Глава 3 ГДЗ Мордкович Семенов 9 класс (Алгебра)
По словесному описанию функции укажите аналитический способ её задания. При необходимости выполните тождественные преобразования, упрощающие аналитическое выражение. 1. Для каждого числа (значения независимой переменной) значение функции y=f(x) равно:

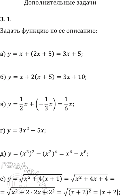
Ниже вариант решения задания из учебника Мордкович, Семенов, Александрова 9 класс, Бином:
По словесному описанию функции укажите аналитический способ её задания. При необходимости выполните тождественные преобразования, упрощающие аналитическое выражение.
1. Для каждого числа (значения независимой переменной) значение функции y=f(x) равно:
а) сумме числа и удвоенного числа, увеличенного на 5;
б) сумме числа и удвоенной суммы этого числа и числа 5;
в) сумме половины числа и одной трети противоположного числа;
г) утроенному квадрату числа, уменьшенному на произведение этого числа и числа 5;
д) квадрату куба числа, уменьшенному на четвёртую степень квадрата числа;
е) квадратному корню из суммы квадрата числа и учетверённой суммы этого числа и числа 1.
