Дополнительная задача 2 Глава 3 ГДЗ Мордкович Семенов 9 класс (Алгебра)
2. Для каждого числа (значения независимой переменной) значение функции y=g(x) равно: а) произведению числа, увеличенного на 1, и противоположного числа, увеличенного на 1;

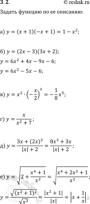
Ниже вариант решения задания из учебника Мордкович, Семенов, Александрова 9 класс, Бином:
2. Для каждого числа (значения независимой переменной) значение функции y=g(x) равно:
а) произведению числа, увеличенного на 1, и противоположного числа, увеличенного на 1;
б) произведению удвоенного числа, уменьшенного на 3, и утроенного числа, увеличенного на 2;
в) произведению квадрата числа и куба половины противоположного числа;
г) частному от деления числа на его квадрат, увеличенный на 7;
д) частному от деления суммы утроенного числа и куба удвоенного числа на модуль числа, увеличенный на 2;
е) квадратному корню из суммы числа 2 и частного от деления на квадрат числа его четвёртой степени, увеличенной на 1.
