Упражнение 1.4 ГДЗ Мерзляк 10 класс Углубленный уровень (Алгебра)
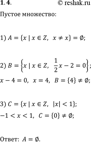
1.4. Какие из следующих множеств равны пустому множеству: 1) A={x | x?Z, x?x}; 2) B={x | x?Z, (1/2)x-2=0}; 3) C={x | x?Z, |x| *Цитирирование задания со ссылкой на учебник производится исключительно в учебных целях для лучшего понимания разбора решения задания.

Ниже вариант решения задания из учебника Мерзляк, Номировский, Поляков 10 класс, Просвещение:
1.4. Какие из следующих множеств равны пустому множеству:
1) A={x | x?Z, x?x};
2) B={x | x?Z, (1/2)x-2=0};
3) C={x | x?Z, |x|
