Упражнение 12.21 ГДЗ Мерзляк 10 класс Углубленный уровень (Алгебра)
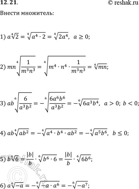
12.21. Внесите множитель под знак корня: 1) a(2^(1/4)), если a?0; 2) mn(1/(m^3 n^3))^(1/4); 3) ab(6/(a^3 b^3))^(1/6), если a > 0, b 4) ab(ab^2)^(1/4), если b?0;

Ниже вариант решения задания из учебника Мерзляк, Номировский, Поляков 10 класс, Просвещение:
12.21. Внесите множитель под знак корня:
1) a(2^(1/4)), если a?0;
2) mn(1/(m^3 n^3))^(1/4);
3) ab(6/(a^3 b^3))^(1/6), если a > 0, b
4) ab(ab^2)^(1/4), если b?0;
5) b(6^(1/6));
6) a(-a)^(1/6).
