Упражнение 15.17 ГДЗ Мерзляк 10 класс Углубленный уровень (Алгебра)
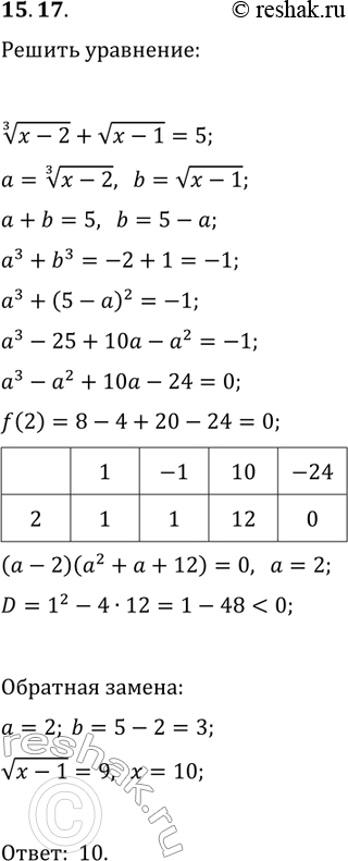
15.17. Решите уравнение (x-2)^(1/3)+v(x-1)=5. *Цитирирование задания со ссылкой на учебник производится исключительно в учебных целях для лучшего понимания разбора решения задания.

Ниже вариант решения задания из учебника Мерзляк, Номировский, Поляков 10 класс, Просвещение:
15.17. Решите уравнение (x-2)^(1/3)+v(x-1)=5.
