Упражнение 15.21 ГДЗ Мерзляк 10 класс Углубленный уровень (Алгебра)
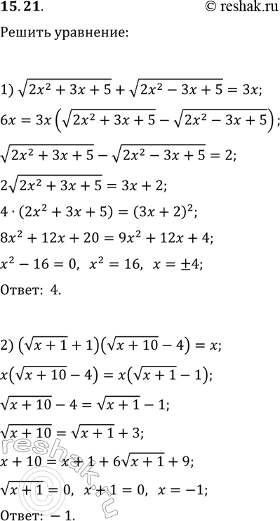
15.21. Решите уравнение: 1) v(2x^2+3x+5)+v(2x^2-3x+5)=3x; 2) (v(x+1)+1)(v(x+10)-4)=x. *Цитирирование задания со ссылкой на учебник производится исключительно в учебных целях для лучшего понимания разбора решения задания.

Ниже вариант решения задания из учебника Мерзляк, Номировский, Поляков 10 класс, Просвещение:
15.21. Решите уравнение:
1) v(2x^2+3x+5)+v(2x^2-3x+5)=3x;
2) (v(x+1)+1)(v(x+10)-4)=x.
