Упражнение 18.15 ГДЗ Мерзляк 10 класс Углубленный уровень (Алгебра)
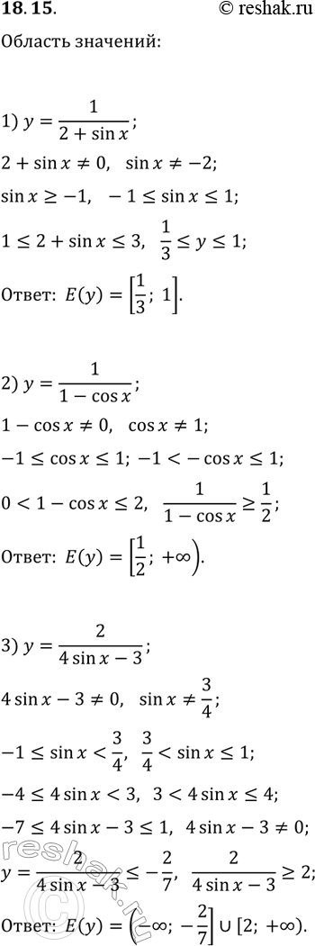
18.15. Найдите область значений выражения: 1) 1/(2+sin(x)); 2) 1/(1-cos(x)); 3) 2/(4sin(x)-3). *Цитирирование задания со ссылкой на учебник производится исключительно в учебных целях для лучшего понимания разбора решения задания.

Ниже вариант решения задания из учебника Мерзляк, Номировский, Поляков 10 класс, Просвещение:
18.15. Найдите область значений выражения:
1) 1/(2+sin(x)); 2) 1/(1-cos(x)); 3) 2/(4sin(x)-3).
