Упражнение 18.16 ГДЗ Мерзляк 10 класс Углубленный уровень (Алгебра)
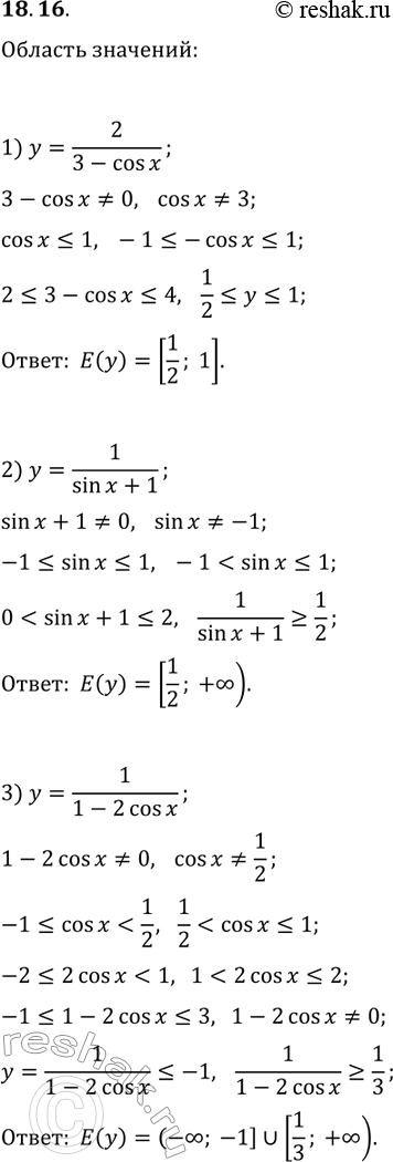
18.16. Найдите область значений функции: 1) y=2/(3-cos(x)); 2) y=1/(sin(x)+1); 3) y=1/(1-2cos(x)). *Цитирирование задания со ссылкой на учебник производится исключительно в учебных целях для лучшего понимания разбора решения задания.

Ниже вариант решения задания из учебника Мерзляк, Номировский, Поляков 10 класс, Просвещение:
18.16. Найдите область значений функции:
1) y=2/(3-cos(x)); 2) y=1/(sin(x)+1); 3) y=1/(1-2cos(x)).
