Упражнение 20.6 ГДЗ Мерзляк 10 класс Углубленный уровень (Алгебра)
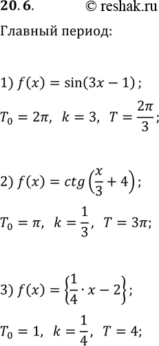
20.6. Найдите главный период функции: 1) f(x)=sin(3x-1); 3) f(x)={x/4-2}. 2) f(x)=ctg(x/3+4); *Цитирирование задания со ссылкой на учебник производится исключительно в учебных целях для лучшего понимания разбора решения задания.

Ниже вариант решения задания из учебника Мерзляк, Номировский, Поляков 10 класс, Просвещение:
20.6. Найдите главный период функции:
1) f(x)=sin(3x-1); 3) f(x)={x/4-2}.
2) f(x)=ctg(x/3+4);
