Упражнение 20.5 ГДЗ Мерзляк 10 класс Углубленный уровень (Алгебра)
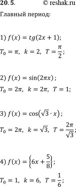
20.5. Найдите главный период функции: 1) f(x)=tg(2x+1); 3) f(x)=cos(v3x); 2) f(x)=sin(2?x); 4) f(x)={6x+5/8}. *Цитирирование задания со ссылкой на учебник производится исключительно в учебных целях для лучшего понимания разбора решения задания.

Ниже вариант решения задания из учебника Мерзляк, Номировский, Поляков 10 класс, Просвещение:
20.5. Найдите главный период функции:
1) f(x)=tg(2x+1); 3) f(x)=cos(v3x);
2) f(x)=sin(2?x); 4) f(x)={6x+5/8}.
