Упражнение 22.1 ГДЗ Мерзляк 10 класс Углубленный уровень (Алгебра)
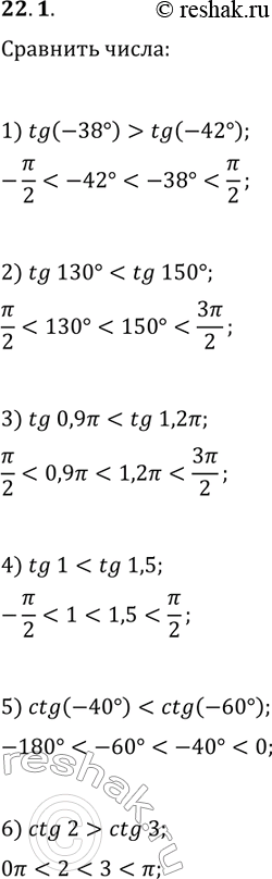
22.1. Сравните: 1) tg(-38°) и tg(-42°); 4) tg(1) и tg(1,5); 2) tg(130°) и tg(150°); 5) ctg(-40°) и ctg(-60°); 3) tg(0,9?) и tg(1,2?);

Ниже вариант решения задания из учебника Мерзляк, Номировский, Поляков 10 класс, Просвещение:
22.1. Сравните:
1) tg(-38°) и tg(-42°); 4) tg(1) и tg(1,5);
2) tg(130°) и tg(150°); 5) ctg(-40°) и ctg(-60°);
3) tg(0,9?) и tg(1,2?); 6) ctg(2) и ctg(3).
