Упражнение 22.2 ГДЗ Мерзляк 10 класс Углубленный уровень (Алгебра)
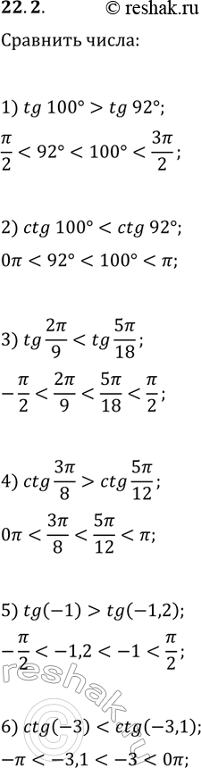
22.2. Сравните: 1) tg(100°) и tg(92°); 4) ctg(3?/8) и ctg(5?/12); 2) ctg(100°) и ctg(92°); 5) tg(-1) и tg(-1,2); 3) tg(2?/9) и tg(5?/18);

Ниже вариант решения задания из учебника Мерзляк, Номировский, Поляков 10 класс, Просвещение:
22.2. Сравните:
1) tg(100°) и tg(92°); 4) ctg(3?/8) и ctg(5?/12);
2) ctg(100°) и ctg(92°); 5) tg(-1) и tg(-1,2);
3) tg(2?/9) и tg(5?/18); 6) ctg(-3) и ctg(-3,1).
