Упражнение 3.8 ГДЗ Мерзляк 10 класс Углубленный уровень (Алгебра)
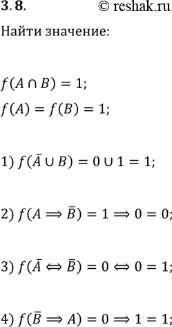
3.8. Пусть f— функция истинности, А и В — некоторые высказывания, причём f(A?B)=1. Найдите: 1) f(!A?B); 3) f(!A?!B); 2) f(A?!B); 4) f(!B?A).

Ниже вариант решения задания из учебника Мерзляк, Номировский, Поляков 10 класс, Просвещение:
3.8. Пусть f— функция истинности, А и В — некоторые высказывания, причём f(A?B)=1. Найдите:
1) f(!A?B); 3) f(!A?!B);
2) f(A?!B); 4) f(!B?A).
