Упражнение 39.24 ГДЗ Мерзляк 10 класс Углубленный уровень (Алгебра)
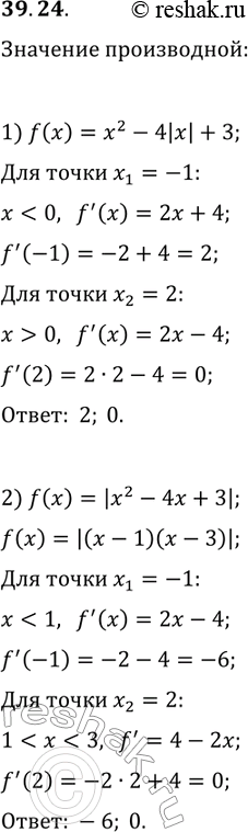
39.24. В точках x_1=-1 и x_2=2 найдите производную функции: 1) f(x)=x^2-4|x|+3; 2) f(x)=|x^2-4x+3|. *Цитирирование задания со ссылкой на учебник производится исключительно в учебных целях для лучшего понимания разбора решения задания.

Ниже вариант решения задания из учебника Мерзляк, Номировский, Поляков 10 класс, Просвещение:
39.24. В точках x_1=-1 и x_2=2 найдите производную функции:
1) f(x)=x^2-4|x|+3; 2) f(x)=|x^2-4x+3|.
