Упражнение 39.25 ГДЗ Мерзляк 10 класс Углубленный уровень (Алгебра)
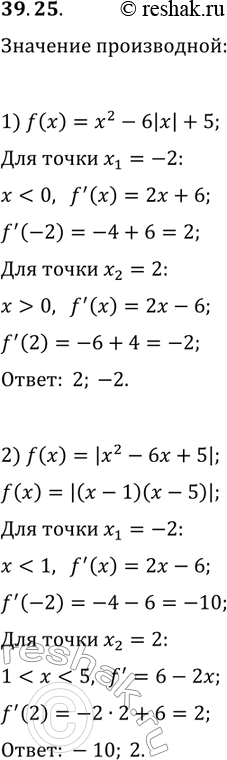
39.25. В точках x_1=-2 и x_2=2 найдите производную функции: 1) f(x)=x^2-6|x|+5; 2) f(x)=|x^2-6x+5|. *Цитирирование задания со ссылкой на учебник производится исключительно в учебных целях для лучшего понимания разбора решения задания.

Ниже вариант решения задания из учебника Мерзляк, Номировский, Поляков 10 класс, Просвещение:
39.25. В точках x_1=-2 и x_2=2 найдите производную функции:
1) f(x)=x^2-6|x|+5; 2) f(x)=|x^2-6x+5|.
