Упражнение 7.13 ГДЗ Мерзляк 10 класс Углубленный уровень (Алгебра)
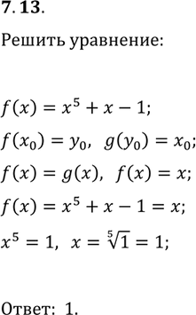
7.13. Функция g является обратной к функции f(x)=x^5+x-1. Решите уравнение f(x)=g(x). *Цитирирование задания со ссылкой на учебник производится исключительно в учебных целях для лучшего понимания разбора решения задания.

Ниже вариант решения задания из учебника Мерзляк, Номировский, Поляков 10 класс, Просвещение:
7.13. Функция g является обратной к функции f(x)=x^5+x-1. Решите уравнение f(x)=g(x).
